手机:13252909801
邮箱:sales@jshybf.cn
QQ:1262827130
地址:中国辽宁省大连市开发区九号办公区5F
图片仅供参考
德国哈威HAWE液控单向阀是最简单的液压装置形式,因为它们允许油在一个方向上自由流动并阻止油在相反方向上流动。液控单向阀也可用作液压系统中的方向或压力控制。通常,单向阀用于压力控制。一个常见的应用是将其用作安全阀以保护换热器。
更新时间: 2022-12-22 作者: 哈威HAWE液控单向阀小编 来源: 佰德液控单向阀是止回阀的一种。阀门通常直接安装在油缸上。它们可防止在管道破裂或软管破裂时不受控制的油缸运动。德国哈威HAWE液控单向阀LB4G-100在出现压力峰值时提供高水平的安全性。它具有在预设触发流量下可重复准确和安全关闭的特点。较高的流速导致弹簧从阀座上抬起的板在流动力的作用下被压到外壳座上并导致阀门关闭。阀板上带有节流孔的变体允许在锁定方向上的低流量。LB 型可用作旋入式阀或用于管道安装的外壳版本。LB 型管路破裂保护阀用于工业车辆、升降平台和起重设备。

特点及优势:
工作压力高达:500 巴
应用领域:
1、工业卡车
2、起重装置
液控单向阀是最简单的液压装置形式,因为它们允许油在一个方向上自由流动并阻止油在相反方向上流动。液控单向阀也可用作液压系统中的方向或压力控制。

哈威HAWE液控单向阀图1
在图 1 中,油从左侧端口流入,通过单向阀并从右侧端口流出。如果右侧端口的压力相等或更高,则单向阀将关闭并阻止反向流动。

哈威HAWE液控单向阀图2
弹簧等级根据阀门在系统中的使用方式而有所不同。单向阀最常见的位置之一是紧靠液压泵的下游(图 2)。请注意,没有带单向阀符号的弹簧。
在该应用中使用时,弹簧额定压力通常为 1-5 磅/平方英寸 (psi),因此未显示符号。在这种情况下,阀门用作方向控制,因为它允许油从泵流向系统,但阻止反向流动。这通常称为泵隔离单向阀。
单向阀将阻止压力峰值返回泵。根据压力,油以每秒 15-30 英尺的速度从泵流向系统。当方向被断电以阻止流动或气缸完全冲程时,油会迅速返回。管线中的压力会迅速增加两到三倍。然后单向阀应关闭并阻止泵的压力峰值。
我记得一家胶合板厂因泵壳破裂而更换了四个泵。这在剥皮机液压系统上发生了一个多星期的时间。当工厂的泵损坏时,工作人员终于取出单向阀,发现活塞和弹簧已经不在阀门中了。
这个价值 几百元的止回阀使公司花费了 数万元用于更换泵和另外几十万的的机器停机时间造成的损失。那是一个昂贵的单向阀。事实是,如果一位机械师看过原理图并知道为什么单向阀在系统中,就可以避免更换泵和后续费用。
当系统关闭时,保持管路中的油很重要。在许多情况下,泵安装在系统阀门、油缸和电机的下方。一旦电动机关闭,泵下游的单向阀将防止管路排空。如果管路中的油通过泵排入油箱,就会出现真空。
流体将通过阀门和执行器的 O 形环和密封件被吸入管路。这会在重新启动系统时产生问题,因为需要排出流体。
一些系统在泵和单向阀的下游安装了液压蓄能器。当系统关闭时,蓄能器内有加压流体。单向阀将阻止蓄能器流出,防止泵反向旋转。
您可以观察泵轴或电动机以验证单向阀是否良好。请注意,所有使用蓄能器的系统都应该有一种方法,可以在系统关闭时将液压压力降至零 psi。

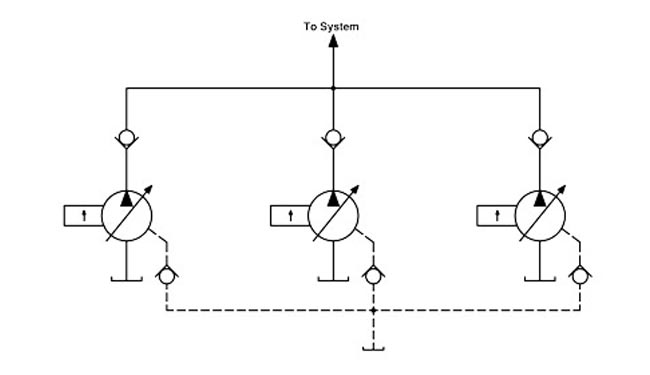
哈威HAWE液控单向阀图3
在许多系统中,一台泵用作备用或备用(图 3)。每个泵在泵出口处都有一个单向阀。单向阀将阻止从在线泵流向离线泵,防止反向旋转。
我记得我曾被叫到一家造纸厂,该造纸厂的化学清洗机驱动装置上的两个泵中的一个不断丢失。一台泵的轴封不断爆裂。当工厂的备件用完时,工作人员不得不通过空运将最后一台泵运到工厂。
由于停机成本,时间安排非常关键,以至于当他们从工厂收到泵时,泵仍然是热的。在安装泵之前,我们拆下了壳体排放管路中的单向阀,发现它卡在关闭位置。这阻止了泵壳中的油排出,从而导致密封件爆裂。

哈威HAWE液控单向阀图4
通常,单向阀用于压力控制。一个常见的应用是将其用作安全阀以保护换热器(如图 4 所示)。在这种情况下,弹簧额定值通常为 65-100 psi。如果油是冷的,冷却器的入口压力可能会达到单向阀的额定值。然后单向阀将打开并引导泵体积围绕冷却器。如果管道被污染,单向阀还将为热交换器提供保护。
综上所述,德国哈威HAWE液控单向阀LB4G-100价格非常优惠,对于液压系统又非常重要。使用好这种阀门既可以保证安全生产,又可以节省备件费用。
哈威HAWE液控单向阀LB4G-100由大连佰德工程技术有限公司专业销售,价格合理、服务完备。工程师对哈威HAWE液控单向阀相关产品型号参数有着丰富的经验,经过了十余年的努力,服务数千大中用户,德国HAWE哈威部分型号备有现货库存,赢得了客户的广泛认可。如需对德国哈威HAWE液控单向阀LB4G-100工作原理-作用-价格内容更多了解,请直接联系我们,将由专业工作人员为您解答。
本文标题:德国哈威HAWE液控单向阀LB4G-100工作原理-作用-价格
本文链接:https://jshybf.cn/hawe/209.html